ITF found in Science mode (for about 23h).
At 8:10 UTC I removed Science mode, then at 8:42 UTC I manually unlocked to relock in LN2 as requested by the planned commissioning activity of IPATSIA.
Activity in progress.
ITF found in Science mode (for about 23h).
At 8:10 UTC I removed Science mode, then at 8:42 UTC I manually unlocked to relock in LN2 as requested by the planned commissioning activity of IPATSIA.
Activity in progress.
7:00 UTC ITF found in SCIENCE
During the night two unlocks happened, the first relock took four attempts and the second two - unsuccessful attempts at LOCKING_CARM_MC_IR and LOCKING OMC_DARM_B1_PD3
7:16 UTC unlock, WE_IP/F7/PAY red as well as LSC_B8_DC showing an oscillating pattern. Unsuccessful relock attempt at CARM_NULL_1F
8:16 UTC ITF in SCIENCE
15:00 UTC ITF left in SCIENCE
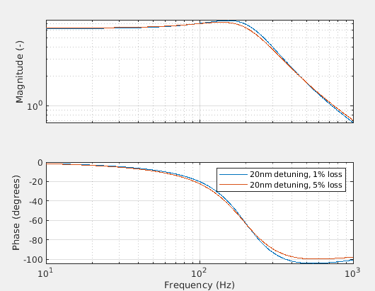
I checked the past data of WEB acoustic injections by inspecting the noise levels sent to the DAC: both in September (blue curve) and in November (green curve), the levels were identical. Therefore, it is not clear why an amplitude of 0.1 caused the interferometer to lose lock.
To safely perform the WEB acoustic injection, we keep the amplitude at 0.01 (pink curve), as done on November 27.
ITF found in relocking phase.
At 15:29 UTC it reached LN3 and the ENV activity could start, see entries: 68729, 68281
Commissioning activitiesy conclude at 19:27 UTC.
ITF left in Science mode with Autoscience ON.
In order to investigate the coupling mechanism of the 401 Hz peak to hrec, we injected a line at 405 Hz:
Magnetic injection: using the small coil, varying its orientation, (Figure 3, 4, 5)
Seismic injection: using the shaker at the same frequency.
Preliminary observations:
The injected line at 405 Hz is slightly visible in hrec for both magnetic and seismic injections, Figure 1 and Figure 2.
Looking at the coherence between hrec and the magnetometer (*DT_MAG*) on the DET tower base (inside lab), as well as the accelerometer (*DT_ACC*) on the flange, the magnetic coherence appears slightly higher than the seismic coherence.
The injection times are reported in the attached file.
This morning and in the afternoon (due to the ITF unlocks), a tapping campaign was performed in CEB. Specifically, tapping was applied on several flanges of each tower, on DET viewports, on SIB1 and SIB2 beam dumps, and on DET and INJ cryotrap vessels.
Only a few preliminary comments on what was observed during the tests (a complete analysis will follow)
SDB1 – South flange: Peak at 121 Hz and several additional lines.
Cryotrap – DET viewport (West side): peak at 315 Hz and various other frequencies
DET Cryotrap – Vessel: peaks above 400 Hz; clear peaks at 501 Hz and 843 Hz.
SR flange – East: peaks at 501 Hz and 840 Hz
SR flange – West: peak @ 120 Hz.
PR North flange (POP flange): peak at 730 Hz and minor lines around 93–105 Hz.
NI North flange: peak at 165 Hz, increasing and disappearing with delay (~1 minute)
B1 viewport: Fluctuating line at 26.5 Hz, and peak at 66 Hz.
B1p Viewport: Strong broadband response: 115–120 Hz, 200 Hz, 322 Hz, and several additional lines.
Hartmann viewport: 66 Hz line shows slight breathing/modulation.
B5 viewport: responses above 400 Hz are more intense; additional lines at 101 Hz and 190 Hz.
EQB1 door: narrow peak at 951 Hz.
General observation:
The 120 Hz line is persistently excited and fluctuating even without tapping, just by moving around the SR -DET area.
Figures 1 and Fugure 2 show the spectrograms of hrec during the tappings performed in the morning and afternoon, respectively.
The time and the exact locations of each tapping are reported in detail in the attached file.
PS During the tappings in SIB2, we noticed a whistling noise caused by the compressed-air line (Figure 3). We informed Piernicola, who then contacted Antonio.
The OMC was not locking due to a change in sign of its error signal. This must be due to the reconfiguration of the EDB DAQ box:
2025-11-28-11h31m04-UTC info masserot Reconfigure EDB_DBOX_DetLab2 in SDB_EDB_dbox_rack
After changing the sign of both photodiode error signal (as usual for this type of problem), the OMC could lock. But we had afterwards two unlocks in ACQUIRE LN2.
Figure 1 shows one example, it was odd as the OMC PZT correction is suddenly diverging from zero. Looking at the log of the automation it corresponds to the time when the OMC goes to low noise mode, which means use B1 PD2 instead of B1 PD3 as the error signal. And comparing both error signals they go in opposite direction.
So this time only the sign of B1 PD3 error signal change, while the one of B1 PD2 did not. This is new, both were changing together in the past ~5 times I have seen this problem.
After changing the sign of just the B1 PD2 error signal the lock acquisition could continue to LN3. Note that the B1 PD2 phase is still quite bad, as the I and Q signals are equal, so it is off by ~45 degrees. But I haven't touched it as I am not sure in which direction in needs to be changed.
The NCal and associated PCal lines have been moved to the 26-26.32 Hz range at 15:36 UTC, while the ITF was not locked.
DRAFT
ITF found in LOW_NOISE_3 and SCIENCE Mode, AUTOSCIENCE On.
UTC 9:09 COMMISSIONING Mode set for CEB viewport tapping (Tringali, Fiori);
UTC 10:45 Unlock. Relock to LN3 achieved at 11:26 UTC.
UTC 11:31 Unlock. Relock failed at first attempt (LOCKING_CARM_NULL_1F). Relock failed at second attempt (LOCKING_OMC_DARM_B1_PD3). Relock failed at third attempt (LOCKING_CARM_NULL_3F). At fourth attempt the sidebands were unbalanced and B1p was 0.035, once the CARM_NULL timer was over i lowered MICH_SET to 30 and added +1.8 urad to SR TY, the OMC was not still able to lock, I contacted DET oncall with no answer and then I contacted Was, activity ongoing. Another attempt was performed adding +2 urad ST TY ensuring B1p was in the correct range, ITF Unlocked at ACQUIRE_LOW_NOISE_2. ITF Unlocked one more time at ACQUIRE_LOW_NOISE_2.
ITF left in CARM_NULL_1F.
The OMC was not locking due to a change in sign of its error signal. This must be due to the reconfiguration of the EDB DAQ box:
2025-11-28-11h31m04-UTC info masserot Reconfigure EDB_DBOX_DetLab2 in SDB_EDB_dbox_rack
After changing the sign of both photodiode error signal (as usual for this type of problem), the OMC could lock. But we had afterwards two unlocks in ACQUIRE LN2.
Figure 1 shows one example, it was odd as the OMC PZT correction is suddenly diverging from zero. Looking at the log of the automation it corresponds to the time when the OMC goes to low noise mode, which means use B1 PD2 instead of B1 PD3 as the error signal. And comparing both error signals they go in opposite direction.
So this time only the sign of B1 PD3 error signal change, while the one of B1 PD2 did not. This is new, both were changing together in the past ~5 times I have seen this problem.
After changing the sign of just the B1 PD2 error signal the lock acquisition could continue to LN3. Note that the B1 PD2 phase is still quite bad, as the I and Q signals are equal, so it is off by ~45 degrees. But I haven't touched it as I am not sure in which direction in needs to be changed.
SInce the BS board replacement, the DMS flag monitoring the TF from Sc_BS_MIR_Z_CORR to the coil current monitoring channels (V1:Sc_BS_MIR_VOUT_DL and DR, UL, UR) is red.
Indeed, the VIM plots show that there is no coherence anymore between them at 2012 Hz (figure 1, top right).
Figure 2 : looking at the channels with dataDisplay:
- purple: current situtation (ITF locked)
- blue: situation on 24 November
--> It looks like we now see only ADC noise, and that the four VOUT monitoring channels are not enabled/plugged?
In the past days BS tx loop in full bandwidth has been engaged by hand. This morning I've restored the automatic engagement in the automation (uncommented line 6188 on ITF_LOCK.py, ACQUIRE_LN3). I'll monitor in the next locks if the loop will eventually misbehave.
Figure 1. This morning around 6.30 UTC I have put back the SR TX offset to 0.015 the value we have been using from August to October to increase the BNS range (have a diagonal SR misalignment instead of a purely SR TY one). This has worked as in the past, B1p decrease and the BNS range has increase by 5Mpc, but made the frequency noise coupling worse.
Note that BS TX control should be put back to high bandwidth, to have a more robust interferometer, and reduce the flucutation in the frequency noise coupling.
In the past days BS tx loop in full bandwidth has been engaged by hand. This morning I've restored the automatic engagement in the automation (uncommented line 6188 on ITF_LOCK.py, ACQUIRE_LN3). I'll monitor in the next locks if the loop will eventually misbehave.
ITF found stable locked at LN3 in COMMISSIONING mode and the planned ENV activity on "air conditioning switch off test" in progress...
Activity concluded at 17:30 UTC with ITF stable locked at LN3 for the whole time.
The planned acoustic injections started at 17:45 UTC unlocked ITF at 17:56 UTC. Relocked at 2nd attempt at 18:50 UTC.
- 19:09 UTC acoustic injections at WEB
- 19:15 UTC acoustic injections at DET
- 19:20 UTC acoustic injections at INJ
Activity concluded at 19:50 UTC. SCIENCE mode set with AUTOSCIENCE_ON.
This is the coherence between the CEB ground currents and Hrec.
There seems to be some sidebands around the third mains harmonic (150 Hz), some noise around 4 kHz, and some lines around 6 khz that is the UPS switching frequency.
Acoustic injections were performed only in the following areas, as they had not been carried out during the last time (#68224): WEB, DET Lab, and INJ Lab.
Since the interferometer unlocked during the injection at WEB, we reduced the amplitude from 0.1 to 0.01 and this adjustment worked.
Below are the output files of the injections (/virgoData/NoiseInjections/AcousticInjectionsO4/output/):
I checked the past data of WEB acoustic injections by inspecting the noise levels sent to the DAC: both in September (blue curve) and in November (green curve), the levels were identical. Therefore, it is not clear why an amplitude of 0.1 caused the interferometer to lose lock.
To safely perform the WEB acoustic injection, we keep the amplitude at 0.01 (pink curve), as done on November 27.
Today, we switched off several devices related to all HVAC systems, including:
The HVAC systems involved were: NEB, WEB, MCB, CEB Hall, CEB Clean Room, DET Lab, INJ Lab. For the AHUs of CEB, chillers and water pumps of Technical Building 1 were not switched off.
The attached list reports the timing of each action for each building.
Figure 1: The blue and purple curves correspond to the configurations with all devices switched-on and all devices switched-off, respectively. No significant impact on the sensitivity is observed, except for a slight reduction around 11.3 Hz, 13.6–16.5 Hz, 18.7 Hz, 54 Hz, 1118 Hz, 1256.7 Hz, 5200 - 5850 Hz. Further analysis will follow to confirm them.
Figure 2: the top plot shows the BNS range, and the bottom plot shows the temperature of the experimental rooms during the switch-off. The temperature variations are small (1 deg) in the experimental areas. No correlated impact was observed in the BNS range.
Investigating the glitches and the DAQ transmission problems of Sc_BS, using the RapidIO diagnostics data provided by its MCH, two DSP boards generating many errors were identified. One, connected to PSDi (serial #42084), was replaced yesterday morning, with a spare (serial #45261). The other, connected to the mirror, was a P5 board (serial #51181). This latter was replaced with a standard p4 board (serial #45257) with its output stage modified in order to have the same output resistance of a p5. In this way the gain was kept while the dynamics was reduced by only about 12 % (10 V / 28.5 Ohm = 0.35 mA vs 0.31 mA of maximum current erogation of AD8397 opamp). This morning the interferometer was successfully locked with this new setup.
SInce the BS board replacement, the DMS flag monitoring the TF from Sc_BS_MIR_Z_CORR to the coil current monitoring channels (V1:Sc_BS_MIR_VOUT_DL and DR, UL, UR) is red.
Indeed, the VIM plots show that there is no coherence anymore between them at 2012 Hz (figure 1, top right).
Figure 2 : looking at the channels with dataDisplay:
- purple: current situtation (ITF locked)
- blue: situation on 24 November
--> It looks like we now see only ADC noise, and that the four VOUT monitoring channels are not enabled/plugged?
This morning I found the cavities locked on the infrared and it wasn't possible to lock the DRMI; the SAT team discovered a problem with the BS board replaced in the last days so they work all the morning to fix this problem (#68266); then the ITF relocked up to LOW_NOISE_3 at the first attempt and the ENV team started with the scheduled air conditioning switch off test, this activity will go on in the afternoon.
Sub-system reportsISC
- 7:37UTC: NI etalon set from 19.8 to 19.543, 259200 sec ramp time.
- 7:37UTC: WI etalon set from 20.263 to 20.00, 259200 sec ramp time.
We set up one gound current monitor, we named ENV_CEB_GROUND_CURR_MON which is connected in DAQ room, ADC 7674 n.46, ch.11.
The probe is one Tektronix A622 clamp, with max range set 0-10A, 100mV/A.
Since around 11 UTC the probe is clamped on the two grounding cables connecting the ENEL and UPS electrical panels located in CEB in front of the INJ cryotrap. See Figure 1. The measured current is about +/- 7A.
Before choosing this final location we performed some tests.
We first checked that the clamp measurement was not influenced by the current flow in the nearby electrical cables. For doing this we positioned the probe onto the cable tray and oriented it in the 3 othogonal directions (the measured current was around +/- 0.07 A for all three directions). See Figure 2. We also positioned the clamp about 1m away from the cable tray (the measured current was +/- 0.047 A).
We also performed a measurement on some of the grounding cables connected to the copper grounding collector bar (see Figure 3), peak values are reported in the attached txt file. We noticed that for all grounding cable the signal has the same spectral shape, but different intensity. Figure 4 compares ASDs measured at some positions. Figure 5 shows trend data.
This is the coherence between the CEB ground currents and Hrec.
There seems to be some sidebands around the third mains harmonic (150 Hz), some noise around 4 kHz, and some lines around 6 khz that is the UPS switching frequency.
The temperature variation of NI and WI TMs under etalon control can be reconstructed assuming three components:
A first attempt to do this reconstruction was done some time ago for NI, in a period when the control had some oscillation and the control correction was quite high. Using those data as a noise injection, it was possible to estimate the temperature response to the heater as two simple poles at 2.5 uHz and, on that estimation, develope a new more performing etalon controller. A good data reconstruction was possible assuming also a response to a YAG step as a simple pole at 2.5 uHz, with an amplitude 0.2 deg. Applying the same model to WI, the reconstruction did not work so well as for NI, mainly due to a larger sensitivity to a YAG step.
The analysis has be replied, trying to be more precise in the evaluation of an alternative step response to the YAG for WI. Two different models have been tested:
Among the two, it seems that the second model works better. I don't know how to explain a so much different time scale for the heat absorbtion/dispersion in two TMs which should be very similar.
An attempt to use a different response to the heater did not give any better result.
The models applied to old data (March) or recent data (October), give results of similar quality, excluding a relevant change in time of the responses.
Due to the external temperature decrease the Etalon loop corrections were saturated since the 22 of November
we decreased the set point of one fringe (for NI and WI) in 3 days NI to 19.543 and WI 20
First we have measured the FC length control loop gain by injecting 7-50Hz white noise in the LFC control; the 3e-2 amplitude noise injection was performed from 2025-11-04-10h46m22-UTC to 2025-11-04-10h50m23-UTC. The measured G(f) open-loop TF is shown in the first plot:

We then proceeded to measure the V-H coupling by injecting noise into the vertical actuator of the FCEM GAS filter. A summary of the 7-50Hz noise injection is shown in the following plot which includes the spectrum of the cavity length error signal, the FCEM vertical actuation signal, which is DC calibrated, and the coherence. The peak at 26.55Hz in the cavity length error signal corresponds to the vertical bounce mode of the mirror suspension.

By combining the actuation signal with the SUMCON model of the payload mechanics we have estimated the actual vertical displacement of the mirror; the conversion also included the compensation of the 35-Hz pole in the coil driver response. The open-loop cavity length change dL can be estimated as dL = 5e-13*LFC_GR_PD_RF_5MHZ_I_CAL * (1+G(f)), where the scaling 1Hz = 0.5 pm is applied. From the comparison between the two reconstructed signals, see next plot, we can extract a V-H coupling of 2e-4 which appears to be frequency independent in the explored band. This measurement was taken with the FCEM mirror Z-actuation not optimized in terms of balancing; for this reason we are planning to repeat it under better balancing conditions.

ITF found DOWN in COMMISSIONING with the activity on "BS board replacing" in progress (Boschi).
Activity concluded at 16:30 UTC.
We started to relock. After the usual cross-alignment in ACQUIRE_DRMI, and after several attempts, ITF unlocked always during LOCKING_ARMS_BEAT_DRMI_3F.
According with Bersanetti we decided to leave it in LOCKED_ARMS_IR.
The example from early 2024 is not very clean, as there is a differential change in EM RH correction 3 hours before the DAS power change. The RH response is delayed and has a few hours long time scale, so the effect othe DAS change will overlap with change in B1p carrier power due to EM RH which is well understood and modeled.
A somewhat cleaner recent example of B1p power change with DAS tuning in LN3 is from the tuning to try to recover from the not understood change in interferometer state in October: https://logbook.virgo-gw.eu/virgo/?r=68015