Reports 1-1 of 1 Clear search Modify search
Interferometer_sensitivity_studies (General)
Vajente, Swinkels - 19:42 Monday 22 October 2007 (19018) Print this report
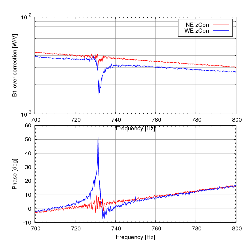
700 Hz bump: the culprit is...
With the ITF locked at step 12, we injected noise in the region between 700 and 800 Hz for both NE and WE adding it to
- zCorr which goes to RM only
- zGc which is splitted to RM and marionette
- zM which goes to marionette only

We measured the TF to the dark fringe, which should be given by the closed loop transfer function of the DARM loop (equal to 1 at this frequencies) times the mechanical response of the used actuators, times the cavity pole.

The first three attached plots show the results for zCorr noise, zGc noise and zM noise. The north end is behaving well, while the strange feature around 730 Hz is well visible in WE.

This is clearly visible as a very large resonance in the WE marionette transfer function. Indeed, similar but much smaller resonances are visible also for the NE marionette (the noise level needed was almost 10 times larger).

The last three plots compare the dark fringe and the two marionette correction with and without noise. Comparing the noise levels, it seems unlikely that the normal noise floor is the origin of the excitation of this resonance.

The Q of the marionette resonance can be estimated from the width at half height. It is of the order of 400.
Images attached to this report
Comments to this report:
paola puppo - 18:10 Thursday 25 October 2007 (19041) Print this report
These are the first 10 internal modes of the marionetta resulted by the Ansys FEM model.

1 899.42 2 arms along z
2 915.71 2 arms along z
3 1048.5 4 arms
4 1192.2 2 arms along x
5 1217.0 arms
6 1293.5 2 arms along z
7 1406.9 2 arms along x
8 1445.2 arms
9 2109.6 body
10 2526.7 body

the details can be found on the link:
http://www.roma1.infn.it/people/puppo/Virgo/FEM/FEM_marionetta.htm
Comments to this report:
swinkels - 19:11 Thursday 25 October 2007 (19043) Print this report
I think this resonance is more likely to be caused by a ‘defect‘ (loose screw, touching wire, shifting balancing mass ...), than by an internal mode of the marionetta:

a) Assuming that they are exactly equal, we should have seen a similar peak for the NE marionetta (and even NI and WI, which have been used for marionetta reallocation).

b) The peak shows large drifts and jumps in frequency (see Irene‘s entry). The jumps correspond to earthquakes and Gc crashes, both of which give a mechanical shock that could move something around.
Search Help
×

Warning

Error

The present report has been modified outside this window. Please check for its integrity in the main page.

Refreshing this page will move this report into drafts.

×